首页 > 北大社会学刊 > 系庆 > 新语

许琪 | 儿子养老还是女儿养老

编者按

许琪,江苏扬州人,现任南京大学社会学院副教授,2009年至2014年就读于北京大学社会学系,先后师从邱泽奇教授和郭志刚教授,2014年在郭志刚教授指导下获得博士学位。主要研究领域为人口社会学、家庭社会学、社会分层等。代表成果:《从父职工资溢价到母职工资惩罚——生育对我国男女工资收入的影响及其变动趋势研究(1989-2015)》(《社会学研究》2021年第5期),《混合型主观阶层认同:关于中国民众阶层认同的新解释》(《社会学研究》2018年第6期),《真的有七年之痒吗?——中国夫妻的离婚模式及其变迁趋势研究》(《社会学研究》2015年第5期),《子女因素对离婚风险的影响》(《社会学研究》2013年第4期),《美貌与地位:中国人婚姻中的匹配与交换》(《社会》2021年第6期)等。

 

图片

 

本文节选自许琪博士论文《中国父系家庭制度的延续与变迁——投资和反馈中的性别差异研究》。论文使用2010中国家庭追踪调查CFPS)数据研究了中国家庭在投资子女教育和子女赡养父母过程中的性别差异及其变迁,探讨了中国社会的现代化转型与人口转变对父系家庭制度的影响和冲击。本文节选自许琪博士论文的第五章,该章通过家庭内部比较法从经济支持和生活照料两个方面对儿子和女儿的赡养行为进行了系统的比较研究。研究发现,在当代中国家庭,儿子在赡养父母时的总效应依然显著大于女儿,但这主要是因为他们更可能与父母同住;一旦控制了子女与父母的居住方式,儿子的直接效应仅在经济支持一个方面大于女儿,在生活照料方面,女儿的直接效应已经显著超过了儿子。分城乡来看,这种儿子出钱、女儿出力的性别分工模式主要体现在农村;在城市,女儿在经济支持和生活照料两个方面的直接效应都已超过儿子。所以,中国传统的以儿子为核心的赡养方式虽然没有彻底瓦解,但已发生了明显的变化,快速的人口转变和女性社会经济地位的提高是导致这些变化的重要原因。

 

儿子养老还是女儿养老

许琪

图片

儿子和女儿在赡养父母时的性别差异是本文关注的核心问题。在传统中国社会,由于缺乏必要的社会养老制度,来自子女的经济支持和生活照料是老年人晚年生活的主要依靠。不过,在父系家庭制度的影响下,赡养老人的家庭责任通常落在儿子的肩膀上。儿子不仅在结婚以后被期望与父母同住,而且要负责照顾父母的饮食起居;而女儿出嫁以后就成了丈夫家的人,对自己的亲生父母不再承担赡养义务。受到这种家庭伦理规范的影响,儿子一直以来都是父母晚年经济支持和生活照料的主要提供者,只有在家庭没有儿子的情况下,女儿才会顶替儿子承担赡养父母的责任。

针对台湾的研究发现,虽然台湾社会在快速的现代化过程中发生了翻天覆地的变化,但儿子在养老中的核心作用依然非常显著。针对中国大陆的早期研究也得到了与台湾类似的研究结果。不过近些年来,一些小范围的调查却发现,在当代中国家庭,女儿参与养老的现象已经越来越普遍,在某些方面甚至已经超过了儿子。但是总体而言,女儿在养老中的作用尚未引起学术界的广泛关注,而且基于局部地区的研究结论是否能够推论到全国也尚未可知。女儿养老是否已经成为全国范围内的普遍现象?对这个问题的回答不仅有助于我们了解中国家庭的变迁规律,而且在老龄化日益严重的背景下,它对中国当前和未来养老问题的解决也具有一定的参考价值。

基于此,本文将使用CFPS2010年的全国性调查数据,对儿子和女儿在家庭养老中的作用进行比较。与以往的研究相比,本文不仅结合中国家庭从夫居的居住传统从经济支持和生活照料两方面对这个问题进行了更加全面的研究,而且结合近些年来中国快速的现代化和人口转变的宏观背景以及女性教育程度的迅速提高对女儿养老的原因进行了更加深入的分析和探讨。

图片

(一)儿子的赡养责任

传统中国社会一直以儒家思想为指导,长期以来形成了以家庭养老为主要特征的赡养制度。在儒家文化体系之中,为人子女最基本的行为准则是,即对父母的绝对尊重和服从;而子女尽孝的目的是,即报答父母的养育之恩。这样,父母对子女的抚育和子女对父母的赡养之间就建立起了因果关联,这就是费孝通所说的中国养老的反馈模式

但儒家文化所强调的的观念一旦加入性别因素就会令人产生疑——同样深受父母养育之恩的儿子和女儿理应承担同等的责任或义务,但在现实生活中,赡养父母的责任通常落在儿子的肩膀上。那么儿子的赡养责任又是从何而来呢?

根据很多学者的研究,儿子的赡养责任根源于父系家庭制度对继承资格的规定。在传统中国家庭,儿子不仅能够继承家庭的姓氏,而且更重要的是能够继承父母的财产。不过儿子继承权的取得必须以履行相应的家庭义务为前提,这种家庭义务在父母年老时是赡养,在父母去世以后是丧葬和祭祀。所以从本质上看,儿子的赡养责任是为了获取财产的继承资格而与父母签订的一份家庭协议。而且这种协议一旦达成,就会产生一系列的连锁反应。首先,它会打破子女养育中性别平等的天平,导致父母对儿子进行更多的教育投资。其次,它也会激励父母在子女成年以后给予儿子更多的帮助。例如在中国,父母通常要负责帮儿子完婚、帮儿子做家务和照顾孙子女。而父母在子女养育和子女成年以后对儿子的特殊照顾又会反过来强化儿子的赡养责任,增强儿子回馈父母的可能性。

所以在传统中国社会,有两套逻辑共同支撑着儿子的养老责任。一套是建立在责任和权利对等基础上的交换逻辑,从这个角度来看,传男不传女的单系继承制度是儿子养老的根本原因。另一套是儒家文化所强调的的情感逻辑,由于父母在子女养育和子女成年以后给与了儿子更多的恩惠,所以儿子会感到有更强烈的责任去回馈父母。总而言之,前一套逻辑为儿子养老提供了制度上的保障,而后一套逻辑为儿子养老提供了伦理上的基础。

(二)作为补充的女儿养老

如前所述,在父系家庭制度的影响下,儿子承担着主要的赡养责任,但是一旦家庭没有儿子,或者儿子由于各种原因不能或不愿意赡养父母,这种单一依靠儿子的传统赡养制度就难以维持。这时,将原本不承担赡养责任的女儿也纳入养老就会成为家庭应对养老困难的一种替代性的办法。不过在传统中国社会,父母依靠女儿养老的情况是非常少见的。

首先,传统中国社会的生育率较高,这保证了几乎家家户户都有儿子,即使在没有儿子的情况下,父母也可以按照一定的宗法原则从兄弟或同宗的亲属那里过继一个儿子,因为没有儿子而需要依靠女儿养老的情况是很罕见的。其次,传统中国社会的流动性很小。按照费孝通的说法,中国乡土社会是一个生于斯又死于斯的社会。在人口流动很少的情况下,绝大多数儿子在结婚以后都会留在父母身边,这就大大增强了依靠儿子养老的可及性。最后,在传统中国社会,孝敬父母不仅是为人子女最基本的行为规范和道德准则,而且还被封建统治者上升为治理国家和维护社会稳定的根本。在这种意识形态的支配下,子女不孝就是大逆不道,不仅会受到道德舆论的强烈谴责,而且会受到国家法律的严厉制裁,所以儿子不孝的情况在传统中国社会也是非常罕见的。

图片

综上所述,在传统中国社会,儿子在赡养父母方面发挥着不可替代的核心作用;女儿养老的现象虽然存在,但它仅是儿子养老的一个必要补充,并不是家庭养老的主流选择。不过近些年来的很多研究却发现,依靠女儿养老的现象已经越来越普遍。那么导致女儿养老功能提升的原因是什么呢?在接下来的部分,本文将对这个问题进行分析和讨论。

(一)社会环境的变化

上文的分析已经指出,在传统中国社会,儿子养老的顺利实现在很大程度上得益于高生育和不流动的人口环境以及儒家文化传统的巨大影响力。不过在当代中国,这种单一依靠儿子养老的传统赡养方式所赖以生存的社会环境和人口环境都已发生了非常深刻的变化。

首先,自从计划生育政策执行以来,中国家庭的生育水平已经大幅下降。郭志刚的研究发现,在上世纪90年代以后,中国的总和生育率已经下降到更替水平以下,此后还在不断降低。第六次人口普查数据显示,我国2010年的总和生育率只有1.18,中国已步入极低生育率国家的行列。生育率的下降一方面意味着生育子女数量的减少,另一方面意味着生育儿子机会的减少。所以与传统社会相比,当代中国家庭没有儿子的比例已经大幅增加。在城市普遍实行独生子女政策的情况下,没有儿子的家庭将占到一半左右。如果家庭没有儿子,依靠儿子的传统赡养方式也就失去了赖以生存的基础,在这种情况下,依靠女儿养老就会自然而然地成为家庭养老的唯一选择。

其次,随着社会现代化程度的不断提高和户籍管理制度的放松,中国迁移流动人口的规模也在迅速增加。在2000年,我国流动人口的总量已经超过1亿,在2010年,流动人口的规模更是达到了惊人的2.2亿。在少子化的背景下,迁移流动的增加无疑加重了家庭养老资源的流失,并且进一步降低了依靠儿子养老的可及性。有研究发现,有迁移流动经历的丈夫不仅在婚后选择从夫居的可能性会显著降低,而且与父母的居住距离也会显著增加,所以迁移流动的增加对儿子养老是非常不利的。不过,迁移流动对女儿养老却可能产生积极的影响。一方面,迁移流动的增加扩大了社会的通婚半径,有迁移流动经历的丈夫选择从妻居的可能性会显著增加。另一方面,女儿外出工作也会增加自身的经济收入,这就提高了赡养父母的经济能力;另外在流动过程中接触到的新的生活方式也会改变女儿传统的家庭观念,并且促进她们性别平等意识的形成。

最后,随着中国现代化程度的不断提高,中国传统的家庭观念也已发生了非常明显的变化,以为核心的儒家文化观念对中国人的影响力已经大不如前了。一些调查发现,在改革开放以后,不仅年轻子女与父母同住的意愿在迅速下降,而且因为老人赡养问题引发的代际冲突也变得越来越普遍。在经济改革过程中,年轻一代因为自身的经济活力已经迅速崛起,而年老一代无论在教育、收入还是职业地位方面都已经全面被年轻一代所超越,这极大地削弱了老年人在家庭中的地位。而且市场经济的快速发展促使年轻一代迅速接受了以消费为特征的、强调个人享受和欲望满足的道德观念,在这种情况下,年轻子女不仅会运用各种说辞以逃避赡养父母的责任,而且还会通过各种手段向父母索取家庭资源,由此导致的代际关系的恶化不仅对老人安享晚年不利,甚至会成为导致老人自杀的一个重要原因。所以,改革开放以来中国经济的高速增长和价值观念的变化已经对以为核心的传统赡养方式产生了非常强烈的冲击。

综上所述,现代化所引起的家庭观念的变化已经削弱了儿子的养老意愿,而生育率下降和人口流动增加所引起的家庭养老资源的萎缩更是在根本上威胁到了依靠儿子养老的现实基础。所以,在快速的现代化和人口转变的背景下,将原本不承担主要赡养责任的女儿也纳入养老中来,就会成为很多父母在无儿可依情况下的一种必然选择。

(二)教育投资的增加

上文结合现代化和人口转变的宏观背景分析了儿子养老的现实危机,并探讨了依靠女儿养老的必要性。但是,要将这种必要性转化成可行性还需满足两个条件:一是女儿有养老的意愿,二是女儿有养老的能力。那么在当代中国,女儿的养老意愿和养老能力又是从何而来呢?

根据前文所做的分析,子女参与养老主要有两种原因:一是为了继承父母的财产,二是为了报答父母的养育之恩。所以,女儿养老愿意的形成也可能是因为两个方面的变化,一是女儿也享有了继承家庭财产的权利,二是女儿在养育过程中受到了父母更多的恩惠。

不过从很多已有的研究文献来看,女儿养老的第一种原因并不成立。虽然在法律层面,我国的《民法》和《婚姻法》都已规定女儿与儿子享有平等的财产继承资格;但是在实践层面,这种法律规定并未真正落实过,由儿子继承家庭财产仍是当前民间主流的财产继承制度。所以从这个角度来看,为了继承家庭财产并不是女儿养老的主要原因。

在排除这种理论解释之后,报答父母的养育之恩就成为女儿养老唯一合理的解释。谢宇和朱海燕的研究认为,女儿养老的伦理基础在于女儿与父母的亲密关系;唐灿等人也认为儿子养老是出于责任,而女儿养老是出于情分。在笔者看来,女儿和父母之间亲密关系的建立或者说情分的形成都必须以父母早年对女儿无私的付出为前提。而且无论对台湾还是对中国大陆的研究都发现,中国父母早年对子女的投资是保障子女回报的最为行之有效的家庭策略。所以笔者认为,父母在子女养育过程中对女儿投资的增加是激发女儿养老意愿的主要原因。

从理论上看,父母对子女的投资包括多种形式,其中最重要的是子女的营养和教育。在基本的温饱问题尚不能满足的困难时期,子女的营养和健康问题是父母养育子女时的头等大事。在旧社会,由于基本的生存资料极其匮乏,中国父母采取了溺杀女婴这种极端的方法来保障儿子的生存。这背后除了延续家庭血脉等文化原因,更重要的是出于养儿防老这种切身利益的考虑。但是在1949新中国成立以后,人民群众最基本的生存问题已经得到了明显改善,除了上世纪60年代初,中国现代史上几乎没有爆发过大规模的饥荒,所以溺杀女婴的现象已经基本消失了。

在基本的生存问题解决之后,教育问题就上升到了第一位。在过去,由于受到女子无才便是德等传统观念的影响,中国父母很少投资女儿的教育。而且中国父母也没有动力让女儿读书,因为根据中国的父系家庭传统,女儿终将出嫁成为别人家的人,所以对女儿进行教育投资是不能收到长远的经济回报的。在这些因素的共同影响之下,中国女性的教育程度长期以来一直低于男性。

不过,近年来的很多研究发现,在新中国成立以后,男女在教育获得上的差距已经明显缩小,近年来甚至出现了女性反超男性的趋势。男女教育获得的平等化预示着中国父母在教育投资中对女儿的歧视在逐渐削弱。根据投资与反馈之间的因果关联,这无疑会刺激女儿提供更多的经济回报和生活照料。

父母对女儿的教育投资不仅会激发女儿养老的意愿,而且能提高女儿养老的经济能力。在现代社会,教育在决定个人收入、职业地位等方面的作用正变得越来越重要,所以,接受教育不仅意味着女性能在劳动力市场上获得更高的经济回报,而且意味着女性具有更多的经济资源来回馈父母。这样,在儿子养老出现危机的情况下,女儿养老就不仅具有理论上的必要性,同时也具备了现实操作的可行性。

图片

在进入正式的分析过程之前,还有两个与女儿养老相关的研究问题需要进一步讨论。

(一)经济支持和生活照料

首先,从家庭养老的内容来看,子女对父母的赡养至少应该包括经济支持和生活照料两个方面。而且从以往的研究成果来看,儿子和女儿在这两个方面发挥的作用和扮演的角色并不相同。

针对欧美发达国家的研究发现,儿子更可能提供经济支持,而女儿更可能提供生活照料。对此,学术界提出了两种理论解释。第一种是性别角色理论,这个理论认为社会对男性和女性有不同的角色期待,所以在赡养父母时,儿子更可能表现出一些男性化的行为,如提供经济支持;而女儿更愿意承担一些女性化的工作,如家务劳动和生活照料。第二种是资源禀赋理论,这个理论认为儿子通常掌握较多的经济资源,所以更适合扮演支持者的角色;而女儿通常具有较多的弹性时间,所以更适合承担照顾者的角色。

不过对中国台湾省的研究却发现,儿子在经济支持和生活照料两个方面做的都比女儿多。研究者认为,这主要是因为受到东亚社会所特有的父系家庭传统的影响。但是到目前为止,还很少有学者对中国大陆的情况进行系统的研究。虽然从文化渊源上看,中国大陆与台湾同样受到父系家庭制度的影响;但很多研究却发现,由于两个社会在现代化水平、文化观念的传统性和社会制度等方面都存在非常明显的差异,中国大陆的家庭制度在很多方面都比台湾表现得更加脱离传统。所以,当代中国家庭在赡养方式上也可能表现出与台湾家庭完全不同的性别分工模式。基于此,本文将结合经济支持和生活照料两个方面对儿子和女儿的养老功能进行更加全面和系统的比较。

(二)居住方式的影响

其次,已经有很多研究发现,子女是否与父母同住以及与父母的居住距离对赡养行为具有非常重要的影响,所以,儿子和女儿谁的养老作用更大在很大程度上取决于谁更可能与父母同住以及谁与父母住得更近。

现有的研究发现,虽然近些年来中国家庭小型化和核心化的趋势已经日趋明显,但家庭从夫居的居住传统并未发生根本的改变。所以这个角度来看,儿子在家庭养老中的核心作用依然存在。虽然有研究发现女儿在赡养父母时的作用已经超过了儿子,但这个结论通常是在控制居住方式的前提下得到的。

例如,谢宇和朱海燕的研究发现,在控制了子女是否与父母同住以后,父母更可能得到女儿的经济帮助。但是,这并不代表女儿在经济支持方面的作用已经超过了儿子,而是说在子女与父母的居住方式相同的情况下女儿给的钱更多。由于儿子更可能与父母同住,而且同住的子女更可能给予父母经济帮助,所以如果我们不控制居住方式,很有可能得到完全不同的结果。

笔者认为,性别对赡养行为的影响具有两条不同的作用途径。第一条是直接效应,即图1中的a,它表示如果儿子和女儿与父母的居住方式完全相同,那么赡养行为是否存在显著的性别差异;第二条是通过居住方式产生间接效应,即图1中的b*c,它表示由于子女与父母的居住方式不同导致的赡养行为上的性别差异。而性别的总效应是直接效应和间接效应之和(a+b*c)。

 

图片

1:性别影响赡养行为的两条路径

 

如果我们仅看性别的直接效应,那么有可能发现在居住方式完全相同的情况下,女儿能够提供更多的经济支持和更好的生活照料。但是在现实生活中,儿子更可能与父母同住而且与父母的居住距离更近,所以如果我们综合间接效应来看性别的总效应,那么很有可能得到与此相反的研究结果。以往的研究(例如谢宇和朱海燕的研究)关注的焦点是性别的直接效应,本文将对控制与控居住方式情况下,性别的直接效应和总效应进行比较。

图片

(一)数据

本文将使用2010CFPS数据进行研究。CFPS是北京大学社会科学调查中心主持的一项大型综合性社会调查,该调查采用内隐分层的、多阶段、与人口规模成比例的概率抽样方法,样本覆盖了除香港特别行政区、澳门特别行政区、台湾省、新疆维吾尔自治区、西藏自治区、青海省、宁夏回族自治区、内蒙古自治区和和海南省之外的全国25 省、市、自治区的人口,覆盖面约占中国内地总人口的95%谢宇曾对CFPS的数据质量进行评估,发现该调查的性别、年龄分布,婚姻状况和受教育程度等基本特征与2010年第六次人口普查非常接近,数据质量很高。就本文的研究问题而言,CFPS的最大优势在于它同时搜集了多个子女对老人的经济支持、家务帮助和生活照料,这在国内同类其他调查中是绝无仅有的,这也为本文深入比较儿子和女儿的赡养功能提供了方便。

在分析时,笔者删除了样本中年龄在18岁以下的未成年子女,因为通常来说未成年子女并不具备赡养父母的经济能力。另外,由于CFPS对同一户中的每个家庭成员都进行了访问,所以很多有配偶的老人及其配偶都在成人样本当中,为了避免对这些老年夫妇的成年子女重复计算,笔者只留下了这些夫妇中的一方进行分析。经过上述处理并去除缺失值以后,进入分析的父母数量为3898人,其18岁及以上的成年子女共11823人,平均每个父母有3个子女。

(二)变量

本文的因变量有三个,分别是子女是否给父母经济帮助、是否帮父母做家务和是否照顾父母,这三个因变量都是二分变量。

在自变量方面,本文考虑了很多父母方面的特征和子女方面的特征。父母特征包括性别、年龄、婚姻状况、教育年限、生活自理能力、自评健康、子女数量和是否与子女同住。这些变量的描述性统计指标见表1。从该表可以发现,农村老人和城市老人在性别和年龄上的分布比较接近,但农村老人丧偶的比例较高,教育程度较低,健康状况较差,子女数量较多,而且与子女同住的比例较高,这与我们的常识是完全一致的。

 

图片

 

子女特征包括性别、年龄、婚姻状况、教育年限、工作类型、与父母的居住距离以及每个子女的兄弟状况。这些变量的描述性统计指标见表2。可以发现,在城市子女和农村子女中,男性的比例都高于女性,平均年龄都在41岁左右,而且大多数子女都结过婚。不过,城市子女的教育程度和从事非农工作的比例都明显高于农村子女,而从事农业生产的比例则明显低于农村子女。另外,城市子女与父母的居住距离相对较远,而且城市子女的兄弟数量以及与父母住得较近的兄弟数量比农村少。城乡之间的这些差异与预期的结果也是完全一致的。

 

图片

 

(三)分析方法

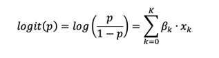
由于本文的三个因变量都是二分变量,所以比较适合使用二分类的逻辑斯蒂回归模型(binary logistic regression model)进行分析。逻辑斯蒂回归的表达式如下所示。其中,回归系数表示自变量增加一个单位,因变量取值为1与取值为0相比的对数发生比率(log odds ratio)。以本文的研究问题为例,如果为正,表示越大,子女在各个方面赡养父母的可能性越大。

图片

在进行统计检验的时候,经典的逻辑斯蒂回归模型通常假定数据中各观测值之间相互独立。不过,本文所用的数据同时包括了一个父母的多个子女,这就违反了观测值之间相互独立的经典假定。在这种情况下,常规的检验方法会低估回归系数的标准误,从而导致错误的研究结论。为了进行正确的统计推断,本文使用了基于组内相关的稳健标准误,这种标准误的计算方法能够避免由于观测值之间的相关性所带来的统计检验问题。

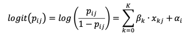
对于本文这种具有嵌套(nest)性质或集群(cluster)性质的数结构据,另一种行之有效的分析方法是固定效应模型。当因变量为二分变量时,固定效应模型的表达式如下所示:

图片

其中,i是父母的下标,j是子女的下标。表示父母i的第j子女向父母i提供赡养的概率。是k子女层面的自变量,如子女的性别、年龄等,是其回归系数。是父母i的固定系数,它代表了父母i自身的异质性。

与经典的逻辑斯蒂回归相比,固定效应模型最大的特点是增加了,这相当于对每个父母使用一个虚拟变量。而且由于的存在,模型已不再需要考虑父母层面的自变量,如父母的性别、年龄、婚姻状况等,因为已经包含了所有这些变量的影响。事实上,即使在模型中考虑这些变量,也会因为完全共线性而被自动排除在模型之外。不过,父母特征与子女特征的交互项依然可以进入模型。

由于固定效应模型控制了所有父母层面未观测到的异质性,它的研究结论通常更加可靠。但是,使用固定效应模型分析本文的问题却可能带来困扰。因为固定效应模型是在同一个家庭内部的多个兄弟姐妹之间比较具有不同特征的子女对父母的赡养行为是否存在显著差异;所以,通过固定效应模型得到的子女性别的回归系数反映的是在儿女双全的情况下,是儿子更可能赡养父母还是女儿更可能赡养父母。根据中国的父系家庭传统,女儿养老通常发生在家庭没有儿子的情况下,但固定效应模型在分析时却将这种女儿最可能赡养父母的情况排除掉了,而经典的逻辑斯蒂回归模型却不会出现这种状况。

不过即便如此,使用固定效应模型进行分析仍然具有一定的现实意义。这主要有两个原因。首先,由于中国家庭过去的生育水平较高,目前大多数老年人都有不止一个成年子女,所以儿女双全的父母在当代中国是有很多的。其次,根据前文所做的分析,在没有儿子的情况下依靠女儿养老是父母不得已而采取的无奈之举,然而在有儿有女的情况下如果父母仍然依靠女儿养老则可视为家庭的一种主动选择。所以,分析儿女双全的情况下儿子和女儿的养老功能对于了解当代中国家庭的养老选择是非常有意义的。所以,本文将同时使用经典的逻辑斯蒂回归模型和固定效应模型进行研究。

图片

(一)描述性统计结果

3分城乡和是否同住描述了儿子和女儿对父母的赡养情况。首先,就全国来看,儿子在经济支持、家务劳动和照顾父母三个方面赡养父母的比例都高于女儿,不过总体来看儿女在这三个方面的差距并不大。所以在当代中国家庭,儿子和女儿在养老中发挥的作用是旗鼓相当的,这与中国传统社会的情况和很多学者对台湾家庭的研究发现明显不同。

 

图片

 

其次,分城乡来看,也可以发现儿子和女儿在赡养父母的三个方面都发挥着非常重要的作用,所以无论在农村还是城市,中国传统的单一依靠儿子的赡养方式都已发生了非常明显的变化。不过城乡之间依然表现出一定程度的差异性:在农村,儿子在经济支持、家务劳动和照顾父母三个方面的作用依然大于女儿;但是在城市,女儿在这三个方面的作用都已超过了儿子。这说明在现代化程度较高和人口转变速度较快的城市地区,女儿的养老功能表现得更加明显。

最后,从表3还可以发现一个非常有意思的现象:如果我们仅就合计这一行来看,在全国样本中,儿子在家务劳动和照顾父母方面的作用都略高于女儿,但无论在与父母同住的子女中进行比较还是在不与父母同住的子女中进行比较都可以发现,女儿在这两个方面做的都比儿子多。这种现象在统计学中被称作辛普森悖论(Simpsons Parodox),即条件分布与边缘分布的结果相互矛盾。出现这个悖论的原因在于:儿子更可能与父母同住,而与父母同住是帮父母做家务和照顾父母的一个很重要的前提条件。所以,尽管在都同住和都不同住的情况下,女儿的作用都比儿子大,但是因为儿子与父母同住的比例更高,所以当我们把同住与不同住的子女合在一起进行比较的时候,就会发现儿子的作用反而比女儿大。在下文的模型分析部分,笔者还将对这个问题进行更加深入的研究。

(二)逻辑斯蒂回归分析

本文将首先使用逻辑斯蒂回归模型对儿子和女儿的养老功能进行比较。表4呈现的是在不控制任何变量的情况下,儿子和女儿在经济支持、家务劳动和照顾父母三个方面的差异性。从回归系数来看,虽然儿子在这三个方面的作用都略大于女儿,但统计检验结果并不显著,这说明在当代中国家庭,儿子和女儿的养老功能是大致相同的。

 

图片

 

而且,从表5可以发现,即使在使控制了子女和父母的很多特征以后,子女性别的回归系数依然很小,而且统计检验结果依然都不显著。这就再次肯定了上文的研究结论,充分说明当代中国家庭的赡养方式确实已经发生了非常深刻的变化,儿子和女儿在经济支持和生活照料两个方面都发挥着同等重要的作用。

 

图片

 

不过,表5中的三个模型并未控制子女与父母的居住距离。所以在这里,子女性别的回归系数反映的都是性别对赡养行为的总效应。根据前文的分析,这个总效应可以分解为两条不同的影响路径:一是在控制居住方式以后,性别对赡养行为的直接影响;二是通过居住方式产生的间接影响。那么在控制子女与父母的居住距离以后,模型结果是否会发生变化呢?

从表6可以发现,一旦我们控制了子女与父母的居住距离,在所有三个模型当中,子女性别的回归系数都变得显著为负,这说明在居住方式完全相同的情况下,女儿在经济支持、家务劳动和照顾父母这三个方面发挥的作用都比儿子更为突出。导致这种变化的原因有两个。首先,正如表6所示,与父母同住的子女以及与父母住得较近的子女向父母提供经济支持和生活照料的可能性显著更大。其次,以往的很多研究发现,中国家庭从夫居的居住传统至今没有发生非常明显的变化,所以儿子在赡养父母时仍然具有得天独厚的距离优势。一旦我们将居住方式上的性别差异控制住,儿子的优势也就不复存在了。

由此可见,在当代中国家庭,儿子和女儿对父母的赡养机制是不同的。儿子养老主要是因为他们更可能与父母同住,而且与父母的居住距离更近;但是在居住方式完全相同的条件下,女儿赡养父母的可能性反而更大。虽然从性别的总效应来看,我们看不到儿子和女儿在赡养行为上有特别明显的差异,但是一旦我们将性别通过居住方式所产生的间接影响刨除掉,儿子和女儿在养老上的差异性立刻就体现了出来。

此外,从表6还可以发现,在控制了居住距离以后,女儿在经济支持方面的作用仅比儿子略微高出一点,但是在家务劳动和照顾父母这两个方面的作用都比儿子大得多。这说明与经济支持相比,女儿的养老功能更多地体现在家务劳动等女性化的照料行为当中。结合性别角色理论和资源禀赋理论,这可能与社会对女性的性别角色期待和女性在时间方面的资源优势有关。

 

图片

 

上文我们对儿子和女儿的养老功能进行了系统的比较,发现就性别的总效应来看,儿子和女儿的养老功能大致相同,但是在控制了居住方式以后,女儿的养老作用反而比儿子大。这些发现与中国传统的依靠儿子养老的父系家庭制度有非常明显的不同。那么在当代中国家庭,女儿参与养老的原因是什么呢?为了回答这个问题,我们对女性样本单独进行了分析,模型输出结果见表7

总体来看,女儿是否参与养老受到三个因素的影响。首先,教育程度的高低是影响女性赡养行为的重要因素。研究发现,女性的教育程度越高,在三个方面赡养父母的可能性都越大。如前文所述,女儿的教育程度一方面反映了父母早年对女儿的教育投资,另一方面也反映了女儿自身的社会经济地位,所以教育程度较高的女儿不仅具有较强的回馈父母的主观意愿,而且具有较强的赡养父母的经济能力。所以教育程度越高,女儿赡养父母的可能性越大。

其次,女儿的兄弟姐妹状况也对赡养行为具有非常显著的影响,与父母住得较近的兄弟数量越多,女儿参与养老的可能性越小。这说明在当代中国家庭,女儿养老在很大程度上仍然是为了填补儿子不能赡养父母所留下的空缺。从分析结果来看,这个空缺既可能是因为家庭没有儿子造成的,也可能是因为儿子迁移流动造成的。所以,中国近些年来生育率的下降和人口迁移流动的增加是导致女儿养老功能提升的重要原因。

最后,女儿是否参与养老在城乡之间也存在非常显著的差异。城市中女儿帮父母做家务和照顾父母的可能性较大,这在一定程度上反映了现代化对家庭赡养方式的影响。因为一般而言,城市的现代化程度高于农村,城市子女的家庭观念也比农村子女更加开放,所以城市中女儿养老的现象也会比农村更加普遍。不过与现代化假设不一致的是,农村父母得到女儿经济支持的可能性反而高于城市父母。

笔者认为,这主要是因为农村父母在经济上更加需要子女的帮助。由于中国的社会保障制度明显向城市倾斜,农村无论在养老金的覆盖率还是在保障水平上都明显低于城市,这导致农村父母在经济上对子女有更强的依赖。所以,尽管从经济支持的角度来看,现代化理论没有得到分析结果的检验,但是考虑到中国特殊的国情,这个结果依然是可以理解的。

总体来看,社会的现代化程度、兄弟是否能够承担赡养父母的责任以及女儿自身的教育程度是影响女儿养老的三个主要原因。所以,结合中国近些年来现代化和城市化的发展、生育水平的降低、人口迁移流动的增加以及女性教育程度提高的宏观背景,笔者认为,未来女儿参与养老的现象将会变得越来越普遍。

 

图片

(三)固定效应模型分析

在这一部分,笔者将继续使用固定效应模型研究子女赡养中的性别差异。如前所述,固定效应模型比较的是同一个家庭内部不同子女之间的养老作用,所以子女性别的回归系数反映的是在儿女双全的情况下,是儿子更可能赡养父母还是女儿更可能赡养父母,这与之前使用的逻辑斯蒂回归模型并不相同。

为了实现在同一个家庭内部的多个兄弟姐妹之间进行比较的研究目的,进入固定效应模型分析的样本必须满足两个条件:第一,他必须有兄弟姐妹,否则就没有可供比较的对象;第二,多个兄弟姐妹对父母的赡养行为不能完全相同,否则也无法区分哪个人的赡养作用更大。正因为这两个原因,进入固定效应模型分析的样本量比之前使用逻辑斯蒂回归模型时少很多。

8展现的是在不控制任何变量的情况下使用固定效应模型得到的儿子和女儿在赡养行为上的性别差异。可以发现,儿子在经济支持、家务劳动和照顾父母三个方面的作用都显著超过了女儿,这说明在儿女双全的情况下,依靠儿子养老依然是家庭养老的主流选择。

 

图片

 

 而且从表9可以发现,即使我们在模型中控制了子女的年龄、婚姻状况、教育年限和工作类型以后,儿子在养老中的核心作用依然显著存在。这就再次验证了表8的研究结论,充分说明在儿女双全的情况下,中国传统的主要依靠儿子的养老方式并未发生明显的改变。这也从一个侧面说明,依靠女儿养老在很大程度上仍是家庭在没有儿子时的一种替代选择。

 

图片

 

根据上一部分的研究结论,儿子养老主要是因为儿子更可能与父母同住,而且与父母的居住距离更近,那么在儿女双全的情况下,儿子在养老中所体现出来的核心作用是否也是由于居住方式不同造成的呢?为了回答这一问题,笔者继续在表9的基础上控制了子女与父母的居住距离,这就得到了表10

可以发现,在控制了居住距离以后,子女性别的回归系数在三个模型中都发生了非常剧烈的变化。从经济支持这个方面来看,虽然儿子的核心作用依然显著存在,但是与之前不控制居住距离时相比已经出现了非常明显的下降。从家务劳动和照顾父母这两个方面来看,儿子的核心作用不仅荡然无存,而且出现了女儿超过儿子的现象。这说明与上一部分的研究结论相同,在儿女双全的情况下,儿子在家庭养老中的核心作用也主要是由居住方式造成的。

以往的研究发现,在儿女双全的情况下,中国父母通常与儿子同住,所以中国从夫居的居住传统在很大程度上限制了女儿养老功能的发挥。如果父母转而选择与女儿同住,那么根据本文的研究结论,女儿至少能够比儿子提供更多的家务劳动和更好的生活照料。不过,即使在居住方式完全相同的情况下,儿子依然比女儿更可能提供经济方面的帮助,这说明儿子在经济支持方面的作用依然非常突出,而女儿的养老功能更主要地体现在生活照料上。如前所述,这一方面与女性自身的性别角色定位有关,另一方面也与女性拥有较多的弹性时间有关。

 

图片

 

从表11可以发现,在控制了子女与父母的居住距离以后,子女性别的直接效应在城乡之间存在非常显著的差异。首先,从经济支持方面来看,性别的回归系数显著为正,这说明在农村,即使在子女的居住方式完全相同的情况下,儿子依然更可能向父母提供经济方面的帮助。但是,性别和城乡之间的交互效应显著为负,这说明在城市,儿子和女儿在经济支持上的差异比农村小。而且,如果我们将子女性别的主效应和性别与城乡的交互效应相加,那么可以发现,在子女与父母的居住方式完全相同的条件下,城市中女儿在经济支持方面对父母的帮助反而比儿子大。这一方面与城市的现代化水平较高和文化观念更加开放有关,另一方面也与城市中的社会保障制度更加健全有关。

其次,从家务劳动和生活照料这两个方面来看,可以发现,在控制了子女与父母的居住方式以后,无论在农村还是城市,女儿的作用都显著超过了儿子。这说明女儿养老功能的提升更主要地体现在生活照料上,而且这种变化在农村和城市具有一定程度的普遍性。不过从交互效应的回归系数和统计检验结果来看,城乡之间也存在一定程度的差异性,女儿在照顾父母方面的作用在现代化水平较高的城市地区表现得更加突出。这就再次验证了现代化理论,说明在现代化水平越高的地区,女儿在家庭养老中发挥的作用越大。

 

图片

 

12在表10的基础上增加了子女性别与教育年限的交互项。由于交互项的存在,在这三个模型中,子女性别的主效应反映的都是在子女教育年限为0(文盲)的条件下,儿子和女儿在赡养父母时的性别差异。可以发现,性别的主效应在两个模型中显著为正,而在另一个模型中不显著。所以总体而言,在子女教育程度很低的情况下,儿子在赡养父母时的作用比女儿大。

不过,性别与教育年限的交互项在三个模型中都显著为负,这说明随着教育程度的提高,性别主效应所反应出来的子女赡养中的性别差异会不断缩小。经过计算,当子女的教育年限达到12年(高中)的时候,儿子和女儿在经济支持方面已经不存在显著的差异,当子女的教育年限达到9年(初中)的时候,儿子和女儿在家务劳动方面的性别差异也会完全消失。而且随着教育年限的继续增加,女儿在这两个方面的作用都会超过儿子。在照顾父母方面,由于子女性别的主效应本身就不显著,这说明即使在教育程度很低的情况下,儿子和女儿的作用也相差无几;而显著为负的交互效应同样说明,随着教育程度的不断提高,女儿在照顾父母方面发挥的作用会超过儿子。

根据前文所做的分析,女儿的教育程度一方面反映了父母早年对女儿的教育投资,另一方面也反映了女儿自身的社会经济地位和赡养父母的经济能力,所以女儿的教育程度越高,赡养父母的可能性越大。在上一部分,笔者已经使用逻辑斯蒂回归模型验证了教育程度对女儿养老的重要影响;在这一部分,笔者使用固定效应模型再次验证了这一假设,这就充分说明教育程度的提高确实是导致女儿养老功能提升的重要原因。

 

图片

 

13使用固定效应模型分析了兄弟姐妹数量对儿子和女儿赡养行为的不同影响。根据中国的父系家庭传统,女儿养老通常是在儿子养老不可及的情况下所采取的一种替代选择,所以兄弟姐妹数量越少,家庭的养老资源越少,在人手不足的情况下将原本不承担赡养责任的女儿也纳入养老中来就会成为很多家庭普遍采用的一种家庭策略。

为了检验这个研究假设,笔者在模型中增加了兄弟姐妹数量与子女性别的交互项。可以发现,在所有三个模型当中,该交互项的回归系数都是正值,这说明在兄弟姐妹数量较多的家庭,儿子在养老中发挥的作用相对较大,而在兄弟姐妹数量较少的家庭,女儿的养老责任会有所增加。不过,从模型对交互项的统计检验结果来看,性别与兄弟姐妹数量的交互效应只在经济支持这一个方面是统计显著的。笔者认为,这可能是由以下两个原因造成的。

首先,一般而言,家务劳动和照顾父母这两个方面的赡养行为只要有一个子女愿意承担就可以。所以,女儿在这两个方面的作用不会随着兄弟姐妹数量的降低而有特别显著的变化。但是父母在经济支持方面的养老需求通常需要多个子女共同承担,所以子女数量越少,女儿参与的必要性越强。

其次,在儿女双全的情况下,儿子出钱、女儿出力是当代中国家庭比较流行的性别分工模式。所以无论子女数量是多是少,家务劳动和照顾父母始终都是女儿的责任,所以女儿在这两个方面的作用不会随着子女数量的变化而有太大的变化。但是为父母提供经济支持通常是儿子的责任,所以如果子女数量少,儿子不能独自承担这种责任,那么女儿的参与就会显得非常必要。

 

图片

 

最后,表14使用固定效应模型研究了居住距离对儿子和女儿赡养行为的不同影响。可以发现,在所有三个模型中,性别和居住距离的交互项都是负值,这说明在子女与父母的居住距离比较近的情况下,儿子的养老作用更大;但是在与父母住得较远的子女当中,女儿的养老作用体现的更加明显。

不过,与上文对兄弟姐妹数量的分析结果类似,性别和居住距离的交互项也只在经济支持这一个维度上是统计显著的。笔者认为,这主要是因为家务劳动和照顾父母这两种赡养行为在较大程度上受到了居住距离本身的限制。而经济支持受居住距离的限制较小,即使子女与父母住得较远,也能提供经济上的帮助。所以经济支持能够更好地反映子女的养老意愿随着居住距离的变化。

如前所述,儿子养老主要基于父系家庭制度所赋予的家庭责任,而且有研究发现,儿子的养老责任会通过社区的群体压力得到强化。也就是说,如果儿子不履行赡养父母的责任,那么来自左邻右舍的群体压力会使儿子感到难堪。但是,一旦儿子脱离了这种社区环境,群体压力也就荡然无存,所以住得远的儿子更可能逃避赡养父母的责任。

而且居住距离也在很大程度上反映了子女的迁移流动状况。外出工作虽然会同时增加儿子和女儿的经济收入,提高他们赡养父母的经济能力;但是从理论上来看,迁移流动对儿子和女儿养老意愿的影响是不同的。迁移流动使儿子脱离了父母的管束,这会降低儿子赡养父母的可能性;但是,迁移流动的经历却使女性有机会接触到现代社会的生活方式,这会从根本上改变她们传统的家庭观念。所以对女儿来说,迁移流动不仅会增强她们赡养父母的经济能力,而且会提高她们赡养父母的主观意愿。所以我们会发现,随着与父母居住距离的增加,女儿与儿子在经济上赡养父母的差异会缩小。

 

图片

图片

本文使用CFPS2010年的初访调查数据,从经济支持和生活照料两个方面比较了儿子和女儿的养老功能,并且结合现代化和人口转变的宏观背景以及女性教育程度的提高分析了女儿养老的原因。现将本文的主要发现概括如下:

首先,无论在农村还是城市,儿子和女儿在赡养父母时都发挥着非常重要的作用。不过城乡之间也表现出一定程度的差异性:在农村,儿子在赡养父母时的作用依然略高于女儿;但是在城市,女儿的作用已经超过了儿子。

其次,中国家庭从夫居的居住传统对儿子和女儿的养老功能具有非常重要的影响。在当代中国家庭,儿子养老主要是因为他们更可能与父母同住,而且与父母的居住距离更近。一旦控制了子女在居住方式的差异,女儿的养老作用反而比儿子大。这说明在居住方式相同的情况下,女儿赡养效果的可能性反而更大。

第三,儿子和女儿在经济支持和生活照料两个方面的作用有所不同,女儿养老功能的提升在家务劳动和照顾父母这两个比较女性化的赡养行为当中表现得更加突出。这一方面与社会对女性的性别角色期待有关,另一方面也与女性拥有较多的弹性时间有关。

第四,与相对落后的农村相比,城市父母更可能在家务劳动和生活照料方面得到女儿的帮助;但农村父母更可能得到女儿的经济帮助,这主要是因为农村的社会保障制度很不健全,农村老人在经济方面对子女有更强的依赖。

第五,与父母住得比较近的兄弟数量越多,女儿赡养父母的可能性越小。这说明女儿养老在很大程度上仍是为了填补家庭没有儿子或者因为儿子外出流动不能赡养父母而留下的养老空缺。

第六,教育程度对赡养行为具有非常显著的影响。女儿的教育程度一方面反映了父母早年对女儿的教育投资,另一方面也反映了女儿自身的社会经济地位和赡养父母的经济能力,所以女儿的教育程度越高,赡养父母的可能性越大。

第七,固定效应模型发现,在儿女双全的情况下,中国父母主要依靠儿子养老的现象依然普遍存在,但儿子在养老中的核心作用主要是因为他们更可能与父母同住以及他们与父母的居住距离较近。一旦在模型中控制了子女与父母的居住距离,儿子仅在经济支持方面超过女儿;在生活照料方面,女儿的作用比儿子更为突出。通过固定效应模型还发现,城乡、教育程度、兄弟姐妹数量和居住距离都对儿子和女儿的养老功能具有不同程度的影响。

本文的这些发现不仅有助于我们认识中国家庭的变迁规律,而且在老龄化的背景下,它对中国日益严重的养老问题也具有极为重要的参考价值。

首先,在现代化和人口转变的宏观背景下,中国父系家庭制度的变迁一直是国内外学者极为关注的研究课题。本文关注的焦点虽然仅集中在家庭养老这一个领域,但它对我们认识父系家庭制度在其他领域的变迁同样具有非常重要的启发意义。因为从理论上看,儿子的赡养责任不仅是他们获取财产继承权的必要前提和基础,而且在很大程度上导致中国父母在生育观念上对男孩的偏好以及在子女养育和代际交往中对女儿的歧视。那么女儿养老功能的提升是否会改变中国传男不传女的单系继承制度?女儿工具性意义的提升对父母的性别偏好会产生什么样的影响?这些都是极富理论意义和现实意义的重要问题。所以,观察中国赡养制度的变化很有可能会成为我们认识整个父系家庭制度变迁的突破口。

其次,中国从夫居的居住传统虽然有利于儿子履行赡养父母的责任,但它却在很大程度上限制了女儿的养老功能。本文发现,在与父母的居住方式完全相同的情况下,儿子能够提供更多的经济支持,但女儿能够提供更好的生活照料。所以笔者认为,老人应该根据自身的需求做出最适合自己的居住选择。在农村社会养老制度尚不健全的情况下,老人在经济上对子女的依赖性依然很高,所以农村老人选择与儿子同住具有一定的经济理性成分。但是在城市,养老金的覆盖率和保障标准都比较高,老人不仅具备了一定的自养能力,甚至还能帮助经济上有困难的子女。所以,城市老人在经济上对子女的依赖已经大为降低;相比之下,他们在生活照料方面的需求正变得越来越重要。所以对城市老人而言,与女儿同住可能是一个更加理想的选择。

第三,本文在固定效应模型分析时将样本限定在多子女家庭,这一方面是为了满足家庭内部比较的研究需要,另一方面也是基于当前大多数中国老人都有多个子女的客观事实。研究发现,在多子女的情况下,兄弟姐妹可以根据自身的角色定位和资源优势在赡养父母时进行合理的劳动分工。例如,儿子出钱、女儿出力就是当前农村家庭普遍实行的一种性别分工模式。但是随着中国生育水平的持续下降,未来将有越来越多的老人只有一个子女,这势必会打破已有的兄弟姐妹之间的分工合作模式,造成独生子女既要出钱、又要出力的不利局面。所以,独生子女家庭的大量出现将对中国传统的赡养制度构成强烈的冲击,女儿的参与虽然有助于缓解家庭的养老危机,但并不足以解决独生子女家庭的养老问题。如何调动各方面的资源以应对老龄化和少子化的双重冲击已是摆在我们面前亟需解决的重大问题。

最后,虽然本文使用了家庭内部比较这种较为严谨的数据分析方法,并且结合经济支持和生活照料两个方面力求对儿子和女儿的赡养行为进行更加全面的比较研究;但是,由于数据本身的限制,本文的分析结论也不可避免地存在一些缺陷。例如,本文发现,与父母同住可以大大增加对父母的经济支持和生活照料,但是从另一个角度看,老人对子女的经济依赖和照料需求也会反过来影响居住方式的选择。虽然从分析技术上看,固定效应模型能够控制所有的父母特征,包括父母的年龄、健康和各种养老需求,但本文并未对这种内生因果问题进行细致的研究,所以这个问题还有待后续的研究去探讨。

再如,本文的主要目的是比较儿子和女儿的养老功能,但由于数据的限制,我们并未考虑儿媳在其中所发挥的作用。根据中国的家庭传统,女儿出嫁以后将要和丈夫一起孝敬丈夫的父母,所以在传统中国社会,女儿的养老功能实际上是通过媳妇这一特定的角色得以实现的,但目前所有的调查数据都未询问媳妇对公婆的赡养,所以我们很难分清老人回答的来自儿子的经济支持和生活照料中,有多大比例是媳妇提供的,有多大比例是儿子自己提供的。所以这个问题只有期待在未来能够掌握更多数据资料的情况下再来回答。

最后,在因变量的测量方面,很多研究指出,子女对父母的赡养应当包括经济支持、生活照料和精神慰藉三个方面,但CFPS仅询问了经济支持和生活照料两个方面的信息,而没有询问子女在情感方面对父母的支持(如探望频率、打电话的频率等),这在一定程度上限制了本文的研究。而且仅从经济支持和生活照料两个方面来看,CFPS也只询问了子女是否有过赡养父母的行为,而没有进一步询问赡养行为的强度。例如,CFPS没有询问子女给父母经济支持的数额,也没有问帮父母做家务和照顾父母的频率,所以这也是本文的缺陷之一。

总而言之,有关家庭养老的研究还有很多重要的问题没有得到妥善的解决,笔者也殷切地希望本项研究能够抛砖引玉,通过学术同仁的共同努力来推动相关领域的研究不断向前发展。

 

文字编辑:宋丹

推送编辑:程思璇、李雨萱

审核:范新光